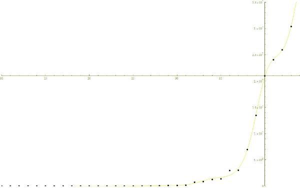
x+Cosh[0.4316375666 x-0.3359730916 Sin[0.9146399528 x]]-3.021683321*10^-11 Sinh[0.9558387240 x]
Dec 15, 2007prediction for 45th mp
(approx 37,702,143 before adjusting for error)