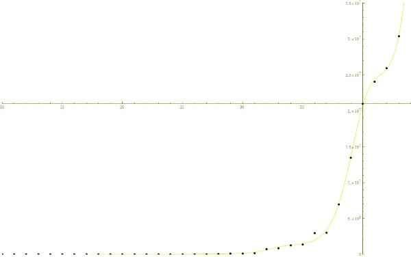
Dec 5, 2007prediction for 45th mp
(approx 45,491,128 before adjusting for error)
Cosh[0.4316379949 x-0.3359650809 Sin[0.9146398481x]]-3.031628975*10^-11 Sinh[0.9557645571 x]